Contoh Soal Integral Rangkap Tiga. Langsung saja simak pembahasannya di bawah ini Pelajari rangkuman materi integral dilengkapi dengan contoh soal integral beserta pembahasan & jawaban lengkap dari soal UN dan SBMPTN untuk Jika F(x) adalah fungsi umum yang bersifat F(x) = f(x), maka F(x) merupakan anti turunan atau integral dari f(x). Integral merupakan bentuk pada operasi matematika yang menjadi kebalikan atau disebut invers dari operasi turunan dan limit dari jumlah ataupun suatu luas daerah tertentu.
Kali ini Pintar Nesia akan berbagi artikel mengenai materi matematika khususnya adalah integral mulai dari Pengertian Integral Tentu, Pengertian Integral Tak Tentu, Integral Trigonometri, dan Contoh Soal Integral, mudah mudahan.
Terdapat tiga rumus yang bisa dipakai untuk menentukan nilai suatu sudut rangkap cosinus.
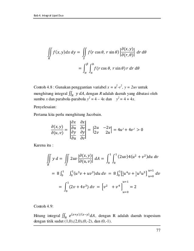
Volume itu sendiri merupakan suatu integral dari luas. Perhatikan suatu fungsi f tiga peubah yang didefinisikan atas suatu daerah berbentuk balok B dengan sisi-sisi sejajar sumbu-sumbu koordinat. Maka dari itu, kali ini admin akan membagikan materi matematika, yaitu Integral.



.jpg)

