Contoh Soal Integral U Du

Contoh Soal Integral U Du

Contoh Soal Integral U Du. Dibutuhkan sebuah cara dan metode yang tepat guna mendapatkan nilai integralnya. Apabila materi ini berguna, bagikan ke teman atau.

Contoh Soal Fungsi Rasional
Contoh Soal Fungsi Rasional (Vernon Vaughn)
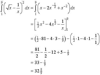
Pembahasan soal Ujian Nasional (UN) Matematika IPA jenjang pendidikan SMA untuk pokok bahasan Dimensi Tiga yang meliputi jarak atau sudu. Contoh Soal Integral Parsial dan Substitusi. Berikut beberapa contoh soal yang dapat dijadikan latihan untuk menambah pemahaman menyangkut integral dengan metode/teknik substitusi.

Akan tetapi, dalam kasus tidak diketahui fungsi awal dari suatu turunan.

Integral ditemukan menyusul ditemukannya masalah dalam differensiasi dimana matemetikawan harus berfikir bagaimana menyelesaikan masalah yang berkebalikan dengan solusi differensiasi.

Integral dalam Matematika: Kumpulan Soal

Contoh Soal Dan Pembahasan Integral Tentu Untuk Menghitung ...

CI.06 Integrales U a la n. Integración por sustitución ...

12 x1 t06 01 integration using substitution (2012)

Contoh Soal Dan Pembahasan Integral Tak Wajar - Contoh ...

Integral Taktentu dan Integral Tentu - Contoh Soal dan ...

Integral dalam Matematika: Kumpulan Soal

CONTOH SOAL INTEGRAL PARSIAL DAN PEMBAHASANNYA PDF

Calculus: u du Integrals - YouTube

Luas daerah yang dibatasi oleh kurva dan adalah… Mencari koordinat titik potong. Soal integral yang diberikan di atas tidak dapat diselesaikan menggunakan rumus umum seperti biasa. Perhatikan bahwa jika U = g.

Share:

Posting Lainnya:

Disqus Comments